onlineodev.com 'a hoşgeldiz. Lütfen soru sormaktan ve cevap vermekten çekinmeyiniz
600 kez görüntülendi
Matematik kategorisinde tarafından

5 Cevaplar

0 beğenilme 0 beğenilmeme
tarafından
tarafından seçilmiş
 
En İyi Cevap

1. M ve N birer küme olmak üzere M = (-5,4] ve N = [1,∞) olarak veriliyor. Buna göre
M - N kümesi aşağıdakilerden hangisidir?

2. 6 ∙ (2x - 4) + 8 = 3 ∙ (4x - 4) - 4 denkleminin gerçek sayılardaki çözüm kümesi aşağıdakilerden
hangisidir?
A) {0} B) { } C) R D) {4} E) {-4

3. denklemini sağlayan x değeri aşağıdakilerden hangisidir?
A) 4 B) 5 C) 6 D) 7 E) 8

4. denklemini sağlayan x değeri aşağıdakilerden hangisidir?
A) 30 B) 28 C) 29 D) 27 E) 26

5. M ve N birer doğal sayıdı 

Yukarıdaki bölme işlemlerine göre M sayısı kaçtır?
A) 32 B) 41 C) 56 D) 78 E) 99

6. AB iki basamaklı doğal sayısının A+B toplamına bölümünde bölüm 4, kalan 3 olduğuna göre kaç
farklı AB yazılabilir?
A) 2 B) 3 C) 4 D) 5 E) 6

7. Aşağıdaki sayılardan hangisi 2, 3 ve 4 ile tam
bölünür?
A) 145 B) 242 C) 366 D) 456 E) 632

8. 23 basamaklı 4242...4 sayısının 9 ile bölümünden kalan kaçtır?
A) 0 B) 1 C) 3 D) 4 E) 7

9. Beş basamaklı 4x56y sayısının hem 3 hem de 5 ile bölümünden kalan 2 olduğuna göre x + y toplamı
aşağıdakilerden hangisi olamaz? 
A) 2 B) 5 C) 8 D) 11 E) 15

10. x4yz ve x7yz dört basamaklı birer doğal sayıdır.
x4yz sayısının 11 ile bölümünden kalan 4 olduğuna göre x7yz sayısının 11 ile bölümünden kalan
kaçtır?
A) 4 B) 5 C) 7 D) 9 E) 11

11. Bir A doğal sayısı 15 ile bölündüğünde bölüm x, kalan 9 dur. x doğal sayısının 4 ile bölümünden
kalan 1 dir. Buna göre A doğal sayısının 12 ile bölümünden kalan kaçtır?
A) 0 B) 3 C) 7 D) 9 E) 10

12. 6 ya, 8 e ve 9 a bölündüğünde 4 kalanını veren en küçük iki basamaklı doğal sayı aşağıdakilerden
hangisine tam olarak bölünür?
A) 7 B) 13 C) 16 D) 19 E) 23

13. Yaşar’ın 2 bilyesi daha olsaydı bilyeleri dörderli, beşerli ve altışarlı gruplara ayrılabilecekti. Buna
göre Yaşar’ın bilyelerinin sayısı aşağıdakilerden hangisi olabilir?
A) 120 B) 182 C) 238 D) 302 E) 404

14. Bir marangoz boyutları 48 cm, 72 cm, x cm olan dikdörtgenler prizması şeklindeki tahta bloğu eş
küplere ayırmıştır. Toplam 168 tane eş küp elde ettiğine göre x en az kaçtır?
A) 80 B) 84 C) 88 D) 96 E) 168

15. Lacivert ve sarı eş kareler kullanılarak şekildeki gibi süsleme yapılmıştır.
Bu süslemede 55 lacivert kare olduğuna göre kaç tane sarı kare vardır?
A) 110 B) 125 C) 150 D) 165 E) 175

image

16. Ada ve Ata iki farklı şehirde yaşamakta olan iki kardeştir. Ada 15 günde bir, Ata ise 20 günde bir
ailelerini ziyarete gelmektedirler. İki kardeş ilk kez cumartesi günü birlikte ailelerini ziyaret ettiklerine
göre 5. kez ailelerini hangi gün birlikte ziyaret ederler?
A) Perşembe B) Cuma C) Cumartesi D) Pazar E) Pazartesi

image

   17. 123454321234543212345... şeklinde her beş rakamda bir tekrar eden sayının soldan 500. basamağındaki rakam kaçtır?
A) 1 B) 2 C) 3 D) 4 E) 5

image

   18. Aynı hastanede görev yapan Dr. Sevilay Hanım 8 günde bir, Hemşire Gülay Hanım ise 5 günde bir nöbet tutmaktadır. İkisi birlikte ilk nöbetlerini salı günü tuttuklarına göre 11. nöbetlerini birlikte
hangi gün tutarlar?
A) Pazartesi
B) Salı
C) Çarşamba
D) Perşembe
E) Cuma

image

   19. eşitsizliğini sağlayan m tam sayısının en küçük değeri kaçtır?
A) -2 B) -1 C) 0 D) 1 E) 2

image

   20. x - 1 ≤ 3 - x < 7 + 3x eşitsizliğini sağlayan x gerçek sayılarının aralığı aşağıdakilerden hangisidir?
A) (-1, 2] B) (1, 2) C) (-2, -1] D) [-1, 2) E) [-2, -1)

image

   21. “ Sayı doğrusu üzerinde 7 sayısına uzaklığı en az 10 birim olan gerçek sayılar” ifadesi aşağıdakilerden hangisinde doğru olarak belirtilmiştir?
A) |x - 7| > 10
B) |x - 10| ≥ 7
C) |x - 7| < 10
D) |x - 7| ≤ 10
E) |x - 7| ≥ 10

image

   22. eşitsizliğinin gerçek sayılardaki çözüm kümesi aşağıdakilerden hangisidir?
A) (4, 7] B) [4, 7) C) [3, 7] D) [3, 7) E) (3, 7]

image

   23. olduğuna göre aşağıdakilerden hangisi daima doğrudur?
A) a > c B) a < c C) a > b D) b > a E) b > c

image

   24. 2 < x < y < 4 eşitsizliği veriliyor. Buna göre 3x - 2y ifadesinin alabileceği en küçük
tam sayı değeri aşağıdakilerden hangisidir?
A) -5 B) -4 C) -3 D) -2 E) -1 

image

   25. 20172017 denklemini sağlayan x değerleri toplamı kaçtır?
A) 3 B) 2 C) 1 D) 0 E) -1

image

   26. denklemini sağlayan a değerleri toplamı kaçtır?
A) -2 B) 0 C) 3 D) 4 E) 6

image

   27. 4x + |3x| - 21 = 0 denkleminin çözüm kümesi aşağıdakilerden hangisidir?
A) {3} B) {21} C) {3,21} D) Ø E) R

image

   28. a, b, A d R olmak üzere A = |3a - 2b| olarak veriliyor. A nın en küçük değeri
için işleminin sonucu kaçtır?
A) -4 B) -2 C) 0 D) 2 E) 4

image

   29. toplamı aşağıdakilerden hangisidir?
A) 2x - 2z B) 2x - 2y C) 2y - 2x D) 2y - 2 E) 2z - 2x

image

   30. a ve b birer gerçek sayıdır. Buna göre ifadelerinin hangileri daima doğrudur?

A) l, ll B) l, lll C) l, lV D) ll, lV E) l, ll, lV 

0 beğenilme 0 beğenilmeme
tarafından

image

   31. m, n ! R olmak üzere |x - 3| < m eşitsizliğinin çözüm kümesi (-5, n) olduğuna göre m+n aşağıdakilerden hangisidir?
A) 2 B) 5 C) 9 D) 16 E) 19

image

   32. 1 ≤ |x - 4| < 3 eşitsizliğini sağlayan x tam sayılarının toplamı aşağıdakilerden hangisidir?
A) 16 B) 15 C) 14 D) 13 E) 12

image

   33. x, y d R olmak üzere |x - 6| < 2 ve |y + 1| < 2x tür. Buna göre x + y nin en büyük tam sayı değeri kaçtır?

A) 18 B) 19 C) 20 D) 21 E) 22 

image

   34.  eşitsizliğinin çözüm kümesi aşağıdakilerden hangisidir?
A) (6, ∞) B) (-6, ∞) C) (-∞, 6) D) ^-3,- 6h E) Ø

image

   35. ax - by = 11 (a + 1) ∙ x + (b - 4) ∙ y = 8 denklem sisteminin çözüm kümesi (3, -1) sıralı ikilisi olduğuna göre a + b toplamı kaçtır?
A) 3 B) 4 C) 5 D) 6 E) 7

image

   36. |4x - y + 3| + |x + y + 12| = 0 denklemini sağlayan x ve y değerlerinin çarpımı aşağıdakilerden
hangisidir? 
A) -9 B) -6 C) -3 D) 18 E) 27

image

   37. ax + 9y - 1 = 0 4x + ay - 5 = 0 denklem sisteminin çözüm kümesi boş küme ise a gerçek sayısının negatif değeri aşağıdakilerden hangisidir?
A) -36 B) -6 C) -3 D) -2 E) -1

image

   38. A şehrinden C şehrine doğru hareket eden bir araç 120 km sonra B ile C şehrinin orta noktasına, C
şehrinden hareket eden bir araç ise 180 km sonra A ile B şehirlerinin orta noktasına ulaştığına göre A
ile C şehirlerinin arasındaki uzaklık kaç km dir? 
A) 100 B) 200 C) 300 D) 400 E) 500

image

   39. 7x - 2y = -20
3x + 4y = 6
( m + 1)∙x + 2y = 0
denklem sisteminin çözüm kümesi aynı (x,y) sıralı ikilisidir. Buna göre m kaçtır?
A) -3 B) -2 C) 0 D) 2 E) 3

image

   40. 5x + 7y = -1
3x + 11y = -3
denklem sistemi veriliyor. Buna göre 7x + 3y toplamı aşağıdakilerden hangisidir?
A) -1 B) 0 C) 1 D) 2 E) 3

image

   41. a, b, c sıfırdan farklı gerçek sayılardır aşağıdakilerden hangisidir?A) -1 B) 1 C) 2 D) 4 E) 6

image

42. hangisinin çözüm kümesini belirtmektedir?
A) 4x + 3y > 24
B) 4x + 3y ≥ 24
C) 4x - 3y > 24
D) 4x + 3y < 24

E) 4x + 3y ≤ 24 

0 beğenilme 0 beğenilmeme
tarafından

image
43. A={(x,y) | -2 < x + y ≤ 3 , x, y d R } kümesinin elemanları aşağıdaki grafiklerden hangisinde doğru

boyanmıştır?

image
44. olmak üzere işleminin sonucu kaçtır?

A) 7 B) 6 C) 5 D) 4 E) 3

image

   45. olduğuna göre 9ab+1 değeri aşağıdakilerden hangisidir?
A) 16 B) 25 C) 27 D) 36 E) 75

image

   46. 272x-2 = 243x denklemini sağlayan x değeri kaçtır?
A) 2 B) 3 C) 4 D) 5 E) 6

image

   47. (2x-5)2x-6 - 1 = 0 denklemini sağlayan farklı x değerlerinin toplamı kaçtır?
A) 5 B) 4 C) 3 D) 2 E) 1

image

   

48. 43x ∙ 8x-1 = 162x-1 ∙ 22-3x denklemini sağlayan x değeri aşağıdakilerden hangisidir? 

image

   49. a ! R olmak üzere a0,6 = 64 ise a0,2 değeri aşağıdakilerden hangisidir?
A) 8 B) 4 C) 2 D) 1 E) 1/4

image

   50. a ve b birer tam sayı olmak üzere 35a-2 ∙ 7a+b = 53 ise b değeri aşağıdakilerden
hangisidir?
A) 2 B) 0 C) -3 D) -5 E) -8

image

   51 .denklemini sağlayan a değeri aşağıdakilerden hangisidir?
A) 1 B) 2 C) 0 D) -1 E) -2

image

   52. olduğuna göre 9a değeri aşağıdakilerden hangisidir?

image

   53. işleminin sonucu aşağıdakilerden hangisidir?
A) x2 B) x3 C) x4 D) -x3 E) -x4

image

   54. Buna göre y nin x cinsinden eşiti aşağıdakilerden hangisidir?

image

   55. işleminin sonucu aşağıdakilerden hangisidir?
A) 108 B) 120 C) 144 D) 180 E) 216

image

   56. Buna göre sayısının a, b, c cinsinden yazılışı aşağıdakilerden hangisidir?

image

   57. denklemini sağlayan x değeri aşağıdakilerden hangisidir?

A) 5 B) 6 C) 7 D) 8 E) 9

image

   58. 4x-6 - 2x-1 > 0 eşitsizliğini sağlayan en küçük x tam sayısı aşağıdakilerden hangisidir?
A) 12 B) 11 C) 10 D) 9 E) 8

image

   59. eşitsizliğinin gerçek sayılardaki çözüm kümesi aşağıdakilerden hangisidir?
A) (-∞,3)
B) (-∞,3]
C) (3,∞)
D) [3,∞)

image

   60. A bir gerçek sayı olmak üzere A = 2x - 12 + 3 x + 2 - 4 6 - x olarak verilmiştir. A
sayısı aşağıdakilerden hangisidir?

A) -2 B) 0 C) 2 D) 4 E)

image

   61. x ve y olmak üzere işleminin sonucu aşağıdakilerden hangisidir?

image

   62. olduğuna göre x gerçek sayısı aşağıdakilerden hangisidir?
A) 314 B) 312 C) 310 D) 37 E) 33

image

   63. işleminin sonucu aşağıdakilerden hangisidir?

A) -2 2 B) - 3 C) 6 D) 2 6 E) 3 - 1 

image

   64. işleminin sonucu aşağıdakilerden hangisidir?
A) 3 B) 6 C) 3 D) 3 3 E) 3 + 3

image

   65. işleminin sonucu aşağıdakilerden hangisidir?
A) 2 B) 2 - 1 C) 2 + 1 D) 2 2 - 1 E) 2 2 - 2

image

   66. işleminin sonucu aşağıdakilerden hangisidir?
A) 6 B) 4 6 C) 12 D) 24 E) 36

image

   67. 3 3 24 sayısı 3 sayısının kaç katıdır? A) 2 B) 3 C) 3 4 D) 3 9 E) 3 12

image

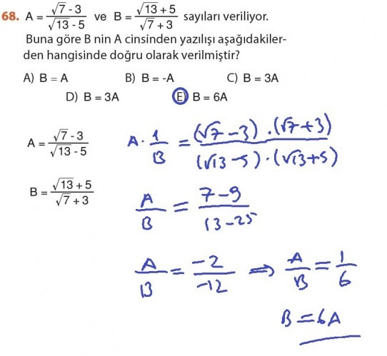
   68 sayıları veriliyor.
Buna göre B nin A cinsinden yazılışı aşağıdakilerden hangisinde doğru olarak verilmiştir?
A) B = A B) B = -A C) B = 3A D) B = 3A E) B = 6A

image

   69. eşitliğini sağlayan x gerçek sayısı aşağıdakilerden hangisidir?
A) -5 B) 0 C) 5 D) 10 E) 15

image

   70. olarak verildiğine göre y x değeri aşağıdakilerden hangisidir?
A) 9 4
B) 4 9
C) 4 1
D) 9 1
E) 1

image

   71. işleminin sonucu aşağıdakilerden hangisidir?
A) 1 B) 2 C) 4 D) 8 E) 16

image

   72. işleminin sonucu aşağıdakilerden hangisidir?

A) 1 B) 2 C) 4 D) 2 5 E) 2 

image

   73. denklem sistemini sağlayan x ve y gerçek sayılarının toplamı aşağıdakilerden hangisidir?
A) 4 B) 5 C) 13 D) 17 E) 19

image

   74. a $ x - (a + 2) $ y = 500 denkleminin çözüm kümesi ÇK = #^ 5,2 5h- olduğuna göre a gerçek
sayısı aşağıdakilerden hangisidir?
A) -14 B) -12 C) 0 D) 12 E) 14

0 beğenilme 0 beğenilmeme
tarafından

image

   75. a ve b sıfırdan farklı gerçek sayılar olmak üzere 3a = 4b ise  oranı kaçtır?

image

   76. ve 3y - 4x = 21 ise x.y değeri aşağıdakilerden hangisidir?
A) 30 B) 45 C) 60 D) 75 E) 90

image

   77. a,b ve c sıfırdan farklı gerçek sayılar olmak üzere, 2a = 3b = 5c ise  oranı kaçtır?

image

   78. 2x - z + 3k = 18 ve 2y + 3m = 20 ise t sayısı kaçtır?
A) -7 B) -3 C) 10 D) 17 E) 27

image

   79. oranının değeri aşağıdakilerden hangisidir?
 

image

   80. Mehmet Bey, bahçesinden topladığı 40 kg cevizi, yaşları 4, 7 ve 9 olan üç çocuğuna yaşları ile doğru
orantılı olacak şekilde paylaştırıyor. Buna göre en büyük çocuk kaç ceviz almıştır?
A) 10 B) 14 C) 18 D) 22 E) 24

image

   81. Bir kurbandan 2/5 oranında kemikli et, 1/3 oranında ise kemiksiz et çıkmıştır. Bu kurbandan 20 kg
kemiksiz et çıktığına göre kaç kg kemikli et çıkar?
A) 30 B) 24 C) 20 D) 18 E) 15

image

   82. Hakan, bilgisayarına bir dosya yükleme işlemi yaparken bilgisayar ekranında 750 MB olan bir
dosyanın sabit hızla 630 MB nın yüklendiğini ve kalan yükleme için 4 dakika süre kaldığını görmüştür.
Buna göre Hakan dosya yüklemeye kaç dakika önce başlamıştır?
A) 21 B) 25 C) 30 D) 36 E) 40

image

   83. Bir üçgenin iç açılarının ölçüleri 2 , 3 ve 6 ile ters orantılıdır.Buna göre bu üçgenin en küçük iç
açısının ölçüsü kaç derecedir? 
A) 15 B) 30 C) 45 D) 60 E) 75

image

   84. 6, 4 ve 3 sayıları ile doğru orantılı olan sayılarla ters orantılı olan sayılar aşağıdakilerden hangisinde
doğru sırayla verilmiştir?

A) 1, 2, 3 B) 2, 3, 6 C) 3, 2, 1 D) 1, 3, 6 E) 2, 3, 4

image

   85. a, b, c, d ve k sıfırdan farklı gerçek sayılar ve k orantı sabiti olmak üzereifadeleri için aşağıdakilerden hangisi doğrudur?
A) a ile b doğru orantılıdır.
B) a ile c doğru orantılıdır.
C) b ile c ters orantılıdır.
D) b ile d doğru orantılıdır.
E) a ile d doğru orantılıdır.

image

   86. a, b, c ve k sıfırdan farklı gerçek sayılar ve k orantı sabiti olmak üzere eşitliğinde k orantı sabiti aşağıdakilerden hangisidir?
A) 1 B) 2 C) 3 D) 4 E) 5

image

   87. a ve b pozitif sayıları sırasıyla 3 ile doğru, 4 ile ters orantılıdır.
a ∙ b = 48 olduğuna göre, a + b toplamı aşağıdakilerden hangisidir?

A) 14 B) 16 C) 19 D) 26 E) 49

image

   88. Bir kümesteki tavuk sayısının kaz sayısına oranı 7/2 ise kümesteki tavuk ve kaz sayıları toplamı aşağıdakilerden hangisi olabilir?
A) 66 B) 75 C) 120 D) 133 E) 144

image

   89. Müslüm’ün 4 yıl önceki yaşının 6 yıl sonraki yaşına oranı 1/3 olduğuna göre Müslüm’ün 2 yıl sonraki
yaşı aşağıdakilerden hangisidir?
A) 4 B) 6 C) 8 D) 11 E) 12

image

   90. Bir sayıyı 12 den çıkardığınızda elde ettiğiniz sayının 2 katını 36 dan çıkarırsanız sonuç 18 olur. Buna göre bu sayı kaçtır?

A) 2 B) 3 C) 4 D) 6 E) 8

image

   91. Bir sepetteki elmaların 1/3i yendikten sonra 8 kg daha elma yeniyor. Geriye ilk durumdaki elmaların
yarısı kaldığına göre başlangıçta sepette kaç kilogram elma vardır?
A) 8 B) 24 C) 36 D) 48 E) 60

image

   92. Bir kuru yemişçideki fıstık ve fındıkların toplam ağırlığı 80 kg dır. Fıstığın kilogramı ₺12, fındığın
kilogramı ₺48 olup bu kuru yemişlerin toplam değeri ₺1860 olduğuna göre kuru yemişçide kaç
kilogram fındık vardır?
A) 15 B) 20 C) 25 D) 30 E) 40

image

   93. Düzenli antreman yaparak azim ve sabırla spor müsabakalarına hazırlanan Ferdi, ilk gün bir
miktar yol koştuktan sonra her gün bir önceki günden 3 km fazla koşmuştur. Bir haftada toplam
77 km koştuğuna göre ilk gün kaç kilometre yol koşmuştur?

A) 1 B) 2 C) 3 D) 4 E) 5

image

   94. Bir çubuk 8 eşit parçaya ayrılıyor. Eğer bu çubuk 10 eşit parçaya ayrılsaydı parçalardan her biri 3
cm daha kısa olacaktı. Buna göre çubuğun parçalara ayrılmadan önceki boyu kaç santimetredir?
A) 80 B) 90 C) 100 D) 120 E) 160

image

   95. Aysun ve Beril’in paraları ile ilgili aşağıdakiler bilinmektedir
• Aysun, Beril’e ₺40 verirse paraları eşit olmaktadır.
• Beril, Aysun’a ₺20 verirse Aysun’un parası Beril’in parasının 5 katı olmaktadır.
Buna göre Aysun’un başlangıçtaki parası kaç Türk lirasıdır?
A) 40 B) 50 C) 80 D) 100 E) 130

image

   96. 3 litrelik ve 5 litrelik iki kovası bulunan Recep, 140 litrelik bir havuzu bu kovalarla dolduracaktır. Her
kovayı tamamen doldurarak ve her kovayı en az bir kez kullanarak bu havuzu en az kaç kova suyla
doldurabilir?

A) 30 B) 32 C) 38 D) 41 E) 46

image

   97. Bir sınıftaki öğrenciler bahçede üçerli sıra oluyor. Bu öğrenciler ikişerli sıra olsalardı sıra sayısı 5 artacaktı. Buna göre bu sınıfta kaç öğrenci vardır?
A) 18 B) 20 C) 24 D) 30 E) 36

image

   98. Gamze bir bilet kuyruğunda baştan (n + 1). kişi, sondan ise (2n - 3). kişidir. Kuyrukta toplam 66 kişi
olduğuna göre Gamze’nin önünde kaç kişi vardır?
A) 18 B) 22 C) 23 D) 24 E) 35

0 beğenilme 0 beğenilmeme
tarafından

image

   99. Bir telin bir ucundan bir miktar kesiliyor. Kesilen kısmın yarısı telin diğer ucuna ekleniyor. Telin orta
noktası ilk duruma göre 15 cm kaydığına göre telin ucundan kaç santimetre kesilmiştir?

A) 10 B) 15 C) 20 D) 25 E) 30

image

   100. Ömer ile Fatih’in bugünkü yaşları toplamı 46 dır. Ömer’in 4 yıl önceki yaşı Fatih’in 2 yıl sonraki
yaşına eşit olacağına göre Ömer’in bugünkü yaşı kaçtır?
A) 20 B) 26 C) 28 D) 30 E) 32

image

   101. AB iki basamaklı bir doğal sayı olmak üzere AB yaşındaki Osman, A + B yıl önce 2A + 2B yaşındaydı. Buna göre Osman’ın şimdiki yaşı kaçtır?
A) 18 B) 21 C) 27 D) 39 E) 48

image

   102. Nazif’in bugünkü yaşı 39 dur. Nazif, Taner’in yaşındayken Nazif’in yaşı Taner’in o günkü yaşının 2
katıydı. Buna göre Taner’in bugünkü yaşı kaçtır?

A) 34 B) 30 C) 28 D) 26 E) 21

image

   103. Bir manav bir kasa limonun kilogramını ₺2 ndan satarsa ₺28 zarar, ₺3 den satarsa ₺20 kâr etmektedir. Buna göre bir kasa limon kaç kilogramdır?
A) 28 B) 32 C) 38 D) 48 E) 58

image

   104. Selim’in çalışma odasındaki kitapların % 40 ı romandır. Romanların da %60 ı bilim kurgu romanıdır.
Kitaplığında bilim kurgu türünde olmayan 152 kitabı olduğuna göre Selim’in kaç tane bilim kurgu
romanı vardır?
A) 40 B) 48 C) 60 D) 96 E) 100

image

   105. Bir ürünün satış fiyatından %30 indirim yapıldığında maliyet fiyatına göre %5 kâr elde edilmektedir.
Buna göre bu ürünün satış fiyatı yüzde kaç kârla belirlenmiştir?

A) 60 B) 50 C) 40 D) 35 E) 30

image

   106. k>0 olmak üzere ₺ k 2/3 na alınan bir mal, ₺ k 5/6 na satılırsa yüzde kaç kâr elde edilir?
A) 50 B) 45 C) 40 D) 30 E) 25

image

107- Yukarıdaki tabloda bir karışımdaki malzeme miktarları ve karışım yüzdeleri verilmiştir.

Buna göre x - y değeri aşağıdakilerden hangisidir?
A) 1360 B) 1260 C) 1040 D) 720 E) 640

image

108. Aralarında 640 km mesafe bulunan iki şehirden hızları 70 km/sa. ve 90 km/sa. olan iki araç birbirlerine doğru aynı anda harekete başlamıştır. Bu araçlar kaç saat sonra karşılaşır?

A) 3 B) 4 C) 5 D) 6 E) 8

image

109. Bir firmaya ait otobüs iki farklı şehir arasındaki yolu 60 km/sa. hızla gidip 90km/sa. hızla dönerek seferini tamamlamaktadır. Bu otobüsün yol boyunca ortalama hızı saatte kaç kilometre olur?
A) 84 B) 80 C) 75 D) 72 E) 64

image

110. Yukarıdaki şekilde AC yolu asfalt, CB yolu topraktır. Asfaltta 60 km/sa., toprakta 40 km/sa. hızla
hareket eden aynı türde iki kamyon aynı anda A ve B noktalarından birbirlerine doğru hareket ediyor.
Bu kamyonlar kaç saat sonra karşılaşır?
A) 3 B) 3,6 C) 4 D) 4,5 E) 5

image

111. Yukarıda verilen dikdörtgen şeklindeki pistin A noktasından hızları 3V ve 2V olan iki bisikletli aynı
anda oklar yönünde hareket ederek E noktasında karşılaşıyorlar. EC = 20m olduğuna göre pistin
çevresi kaç metredir?

A) 120 B) 160 C) 180 D) 200 E) 240

image

112. Yukarıdaki tabloda A+ ve A++ enerji sınıfındaki iki tür buzdolabının saatlik enerji tüketim miktarları gösterilmiştir. Ahmet Bey A++ enerji sınıfında yeni bir buzdolabı satın almıştır. 1 kW elektirik tüketim bedelinin 30 kuruş olduğu bir fatura döneminde A+ enerji sınıfındaki eski buzdolabı yerine 30 gün boyunca yeni buzdolabını sürekli çalıştırmıştır. Bu durumda Ahmet Bey kaç Türk lirası tasarruf
etmiştir?
A) 4,25 B) 5,08 C) 6,48 D) 8 E) 8,2

image

113. Arda, Burak ve Canan şekildeki gibi sıralanarak “bom” oyunu oynayacaklardır. Oyunun kuralları
aşağıdaki gibidir. 
I) Oyuna Arda başlayacak ve şekildeki oklar yönünde ilerleyeceklerdir.
II) Arda 1 sayısını, Burak 2 sayısını, Canan 3 sayısını, Arda 4 sayısını söyledikten sonra
Burak bom diyecek ve sonra Canan 6 sayısını söyleyecektir.
III) Bu şekilde devam ederek 5 in tam katlarında bom kelimesi söylenecektir. Şaşıran kişi oyunu
kaybedecek ve oyun sonlanacaktır.
Bu bilgilere göre, 
a) 100 sayısının yerine Arda’nın bom dediği ana kadar Burak’ın kaç kez bom dediğini bulunuz.

image

   

b) 99 sayısına gelinceye kadar Burak ile Canan'ın toplam kaç kez bom dediğini bulunuz.

image

c) 149 sayısına gelinceye kadar kaç kez bom denildiğini bulunuz. 

Onlineodev.com'a hoş geldiniz! Okul derslerinizdeki ödevleriniz ve anlamadığınız konular için aradığınız hızlı ve doğru cevapları burada bulabilirsiniz.

Türkiye Geneli Online Deneme Sınavlarına Katılın.


...