onlineodev.com 'a hoşgeldiz. Lütfen soru sormaktan ve cevap vermekten çekinmeyiniz
56 kez görüntülendi
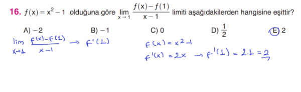
Matematik kategorisinde tarafından

1 cevap

0 beğenilme 0 beğenilmeme
tarafından

.image
image
image
image
image
image
image

Onlineodev.com'a hoş geldiniz! Okul derslerinizdeki ödevleriniz ve anlamadığınız konular için aradığınız hızlı ve doğru cevapları burada bulabilirsiniz.

Sayfa Başlığı Buraya Gelecek
...