onlineodev.com 'a hoşgeldiz. Lütfen soru sormaktan ve cevap vermekten çekinmeyiniz
114 kez görüntülendi
Matematik kategorisinde tarafından

1 cevap

0 beğenilme 0 beğenilmeme
tarafından
tarafından düzenlendi

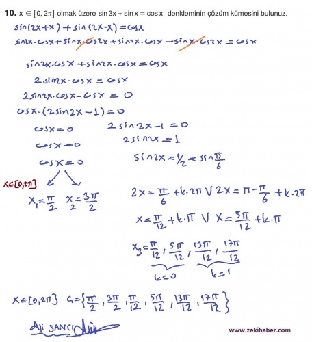
.image
image
image
image
image
image
image
image
image
image
image
image
image


Onlineodev.com'a hoş geldiniz! Okul derslerinizdeki ödevleriniz ve anlamadığınız konular için aradığınız hızlı ve doğru cevapları burada bulabilirsiniz.

Sayfa Başlığı Buraya Gelecek
...