onlineodev.com'a Hoş Geldin!

Burası bilgi paylaştıkça büyüyen bir eğitim platformudur. Aklına takılan tüm soruları hiç çekinmeden sorabilir veya hakim olduğun konularda diğer öğrencilere yanıt vererek onlara destek olabilirsin. Hadi, sen de bu güzel dayanışmanın bir parçası ol.

154 kez görüntülendi
Matematik kategorisinde tarafından
tarafından düzenlendi

1 cevap

0 beğenilme 0 beğenilmeme
tarafından

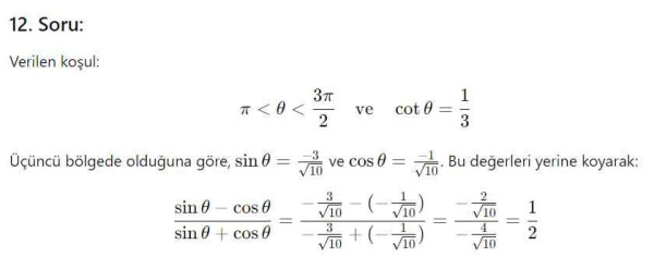
ÇÖZÜMLER:

image

image

image

image

image
image

image

image


image
image
image


image
image
image
image
image
image

image
image
image
image

Onlineodev.com'a hoş geldiniz! Okul derslerinizdeki ödevleriniz ve anlamadığınız konular için aradığınız hızlı ve doğru cevapları burada bulabilirsiniz.

Türkiye Geneli Online Deneme Sınavlarına Katılın.


...