onlineodev.com'a Hoş Geldin!

Burası bilgi paylaştıkça büyüyen bir eğitim platformudur. Aklına takılan tüm soruları hiç çekinmeden sorabilir veya hakim olduğun konularda diğer öğrencilere yanıt vererek onlara destek olabilirsin. Hadi, sen de bu güzel dayanışmanın bir parçası ol.

52 kez görüntülendi
Matematik kategorisinde tarafından

1 cevap

0 beğenilme 0 beğenilmeme
tarafından

1. Aşağıdaki işlemleri yapınız.

Bu sorularda tam sayılarla toplama ve çıkarma işlemlerini yapacağız. Hatırlayalım ki:

  • Eş işaretli sayıları toplarken: Sayıların mutlak değerlerini toplar, ortak işareti koruruz.
  • Zıt işaretli sayıları toplarken: Sayıların mutlak değerlerinden küçük olanın mutlak değerini büyük olanın mutlak değerinden çıkarırız. Sonucun işareti daima büyük olan sayının işaretidir.
  • Çıkarma işlemi toplamaya çevirerek yapılır: Çıkarma işlemi yapacağımız sayının işaretini değiştirip toplama işlemi yaparız.

Şimdi sorularımızı çözmeye başlayalım:

  • a) (-7) + (-4) = -11 (Eş işaretli iki negatif sayıyı topladık, sonuç negatif oldu.)
  • b) 0 - (-2) = 2 (Sıfırdan negatif bir sayı çıkarırken, aslında o sayıyı toplamış oluruz.)
  • c) (+2) - (+4) = -2 (Çıkarmayı toplamaya çevirdiğimizde: (+2) + (-4) = -2)
  • d) (-15) + 0 + (+12) = -3 (Pozitif ve negatif sayıları toplarken, büyük olanın işaretini alırız.)
  • e) (-18) - (-14) = -4 (Çıkarmayı toplamaya çevirdiğimizde: (-18) + (+14) = -4)
  • f) (+7) + (+5) = +12 (Eş işaretli iki pozitif sayıyı topladık, sonuç pozitif oldu.)
  • g) (-11) + (+11) = 0 (Zıt işaretli ve eşit büyüklükteki iki sayının toplamı sıfırdır.)
  • h) (+5) + (+5) = +10 (Eş işaretli iki pozitif sayıyı topladık, sonuç pozitif oldu.)
  • i) (-14) - (+14) = -28 (Çıkarmayı toplamaya çevirdiğimizde: (-14) + (-14) = -28)

2. Aşağıdaki işlemler ile bu işlemlerin sonuçları eşleştirildiğinde hangi tam sayı açıkta kalır?

Bu soruda verilen işlemleri yaparak sonuçları bulalım ve verilen cevaplarla eşleştirelim. Açıkta kalan sayıyı bulacağız.

  • (+10) + (-7) = 3
  • (-1) - (-1) + (+1) = 1
  • (-4) + (-2) + (+6) = 0
  • (-13) + (-3) - (-13) = -3

Verilen cevaplar arasında +1 sayısı açıkta kalıyor.

3. Es aralıklara ayrılmış yukarıdaki sayı doğrusunda verilenlere göre A - (B + C) işleminin sonucunu bulunuz.

Sayı doğrusunda A, B ve C noktalarının gösterdiği sayıları bulalım ve işlemi yapalım.

image

image

image

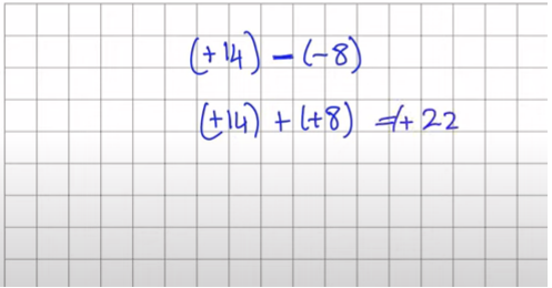
6. Sinem, ( – 14 ) tam sayısının toplama işlemine göre tersi olan sayıdan ( – 8 ) tam sayısını doğru bir şekilde çıkarıyor ve işlem sonucunu defterine yazıyor. Buna göre Sinem’in defterine yazdığı tam sayıyı belirleyiniz.

image

Onlineodev.com'a hoş geldiniz! Okul derslerinizdeki ödevleriniz ve anlamadığınız konular için aradığınız hızlı ve doğru cevapları burada bulabilirsiniz.

Türkiye Geneli Online Deneme Sınavlarına Katılın.


...